Материалы ученикам

Объяснения материала. Финансовая грамотность 5 класс.
Очень мало материала, сделанного в этой программе, потому что в 5 классе в основном задания творческие,...

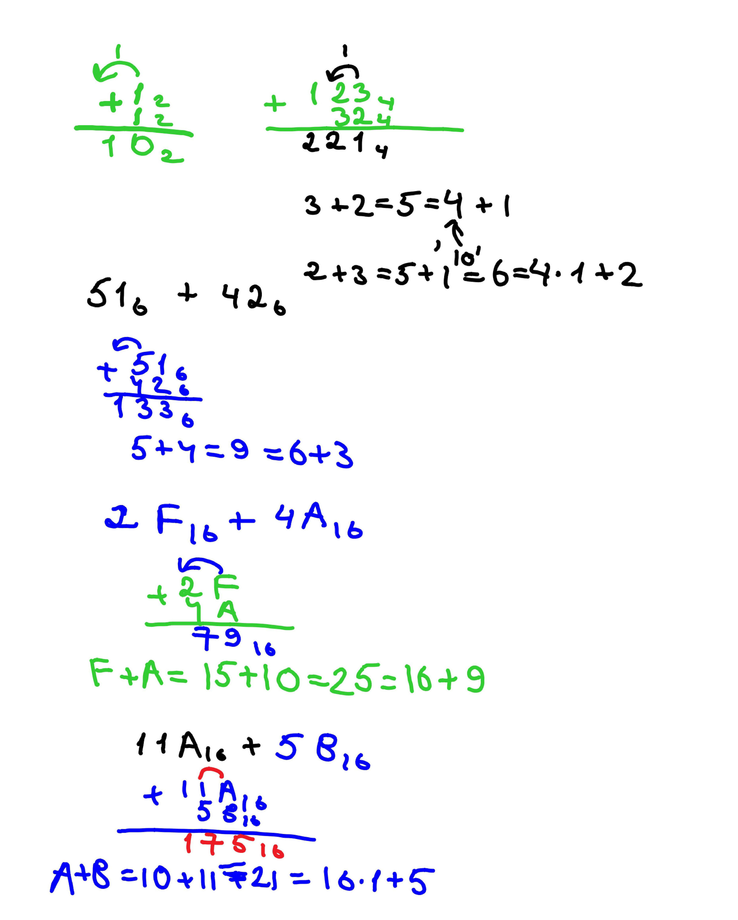
Объяснения материала. Информатика 5 класс.
Некоторые объяснения по информатике. 5 класс. Очень мало материала, сделанного в этой программе, потому что в 5...

Объяснения материала. Математика 5 класс.
Естественно, что без объяснения учителя, к сожалению, материал могут взять в современном мире не более 15% учеников,...

































