Это текстовый абзац. Нажмите на него и введите свой текст. Вы можете в любой момент вернуться к тексту и изменить его, например сделать текст подчеркнутым или курсивом. Используйте этот абзац, чтобы рассказать своим клиентам о себе или своих услугах. При необходимости текстовый абзац можно заменить, например, на заголовок, подзаголовок, список, номерной список или цитату.
Материалы ученикам

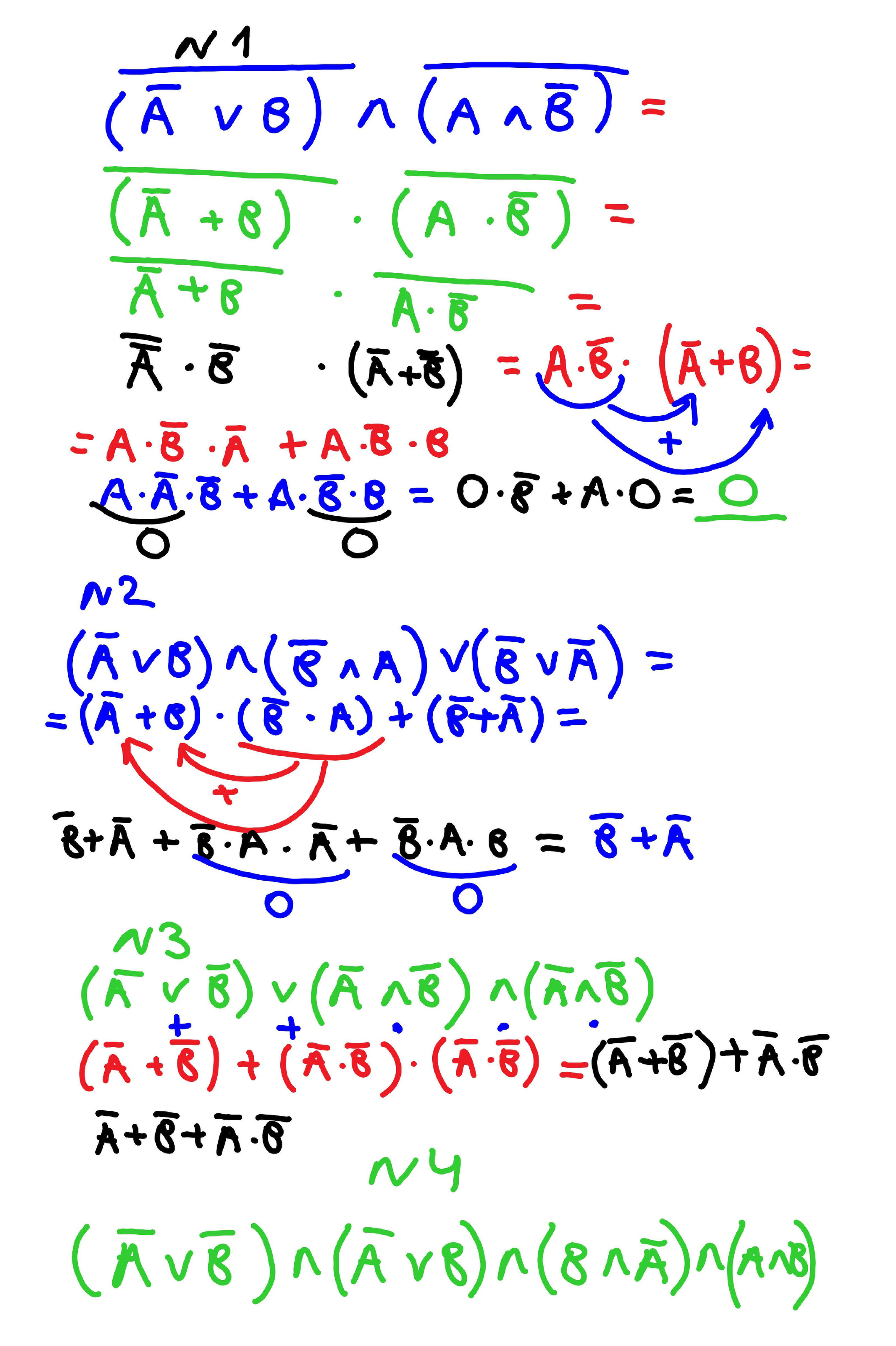
Объяснения материала. Информатика. 8 класс.
В 8 классе идет основной упор на «математическую информатику». Это системы счисления, алгебра логики и, естественно,...

Объяснения материала. Финансовая грамотность 5 класс.
Очень мало материала, сделанного в этой программе, потому что в 5 классе в основном задания творческие,...

Объяснения материала. Информатика 5 класс.
Некоторые объяснения по информатике. 5 класс. Очень мало материала, сделанного в этой программе, потому что в 5...

Объяснения материала. Математика 5 класс.
Естественно, что без объяснения учителя, к сожалению, материал могут взять в современном мире не более 15% учеников,...























